Proving radar-based wave and vessel motion prediction in real offshore conditions

Technology

Sea state measurement is not a new concept. From initial visual observations of the surface of the sea to the Beaufort scale devised in the 1800s, vessel owners – whether once conquerors of the seas or modern-day freight giants – have always sought data on conditions to ensure that operations at sea are safe and optimized.

Traditional wave and vessel motion prediction systems often do not work optimally under complex ocean conditions. They struggle with elements like mixed wave patterns (multimodal sea), non-linear waves and radar setup requirements that are hard to meet. There’s also a limited understanding of how sea surface data relates to ship movement.

Today, however, we have moved far beyond observational measurements. A new generation of technology and methods have been developed to provide reliable predictions under real-life conditions.

Advancing beyond observation

Deterministic prediction can be used to monitor and track specific waves and predict their impact in the range of seconds to minutes. Ocean insights provider Miros focuses on this approach as it relies on real-time radar measurements rather than assumptions, which can introduce uncertainty. By using observed data instead of modelled estimates, it enables highly accurate predictions in the moments that matter most.

The Miros Whitepaper “Performance of the Miros PredictifAI System” explores the role of Miros WaveSystem and Wavex for wave and vessel motion prediction. (Source: Miros)

Technology like PredictifAI delivers high-frequency wave and vessel motion predictions up to two minutes ahead, giving personnel a reliable warning of potentially dangerous waves. PredictifAI combines AI with X-band radar measurements of incoming waves and local alpha-factor approved downward wave readings, enabling Miros’ WaveSystem to continuously assess prediction accuracy and achieve the highest prediction quality. PredictifAI technology automatically adapts to varying sea and weather conditions to continuously provide optimal results.

This places the solution at the forefront of deterministic prediction of waves and vessel motion. The technology can be used to monitor and track waves and predict their impact with high precision on a short timescale. It shows wave height, clearance and vessel movements on a user-friendly display, with set safety limits and warning indicators shown in traffic light colors to help operators quickly see when conditions may become unsafe, as seen in Figure 1.

Figure 1: Example of configurable GUI (Source: Miros)

By combining traditional methods with radar sources, novel algorithms and artificial intelligence (AI), vessel operators can access a new set of predicted parameters every second.

Real-world system validation

A recent study by Miros explored the need for sea state measurement tools, as well as verified the performance and accuracy of the technologies using real data from active installations.

Results were taken from two operational systems, both installed on offshore vessels. The vessels differed significantly in size, hull characteristics and onboard equipment, but both sail in varying sea states and weather conditions.

System 1 was set up to predict air gap, surface elevation, pitch angle, yaw angle and heave position, which are all directly linked to incoming waves. System 2 was configured to predict roll angle, pitch angle, yaw angle and heave position.

Overall, System 1 focused more on wave-related measurements, while System 2 placed more emphasis on vessel motion, reflecting differences in vessel type, operating conditions and available data.

What the data shows

Correlation between predicted and measured values is an important measure for judging how accurate a deterministic prediction is. It shows how closely the predicted values match the measured ones over time. In deterministic prediction, the exact shape of the time series and the timing of events matter, which is why it is used instead of statistical prediction. Another key measure is the root mean square (RMS) deviation, which quantifies how far off predictions are from real values. The latter is especially important when looking at maximum wave or motion levels.

Figure 2: Time series of predicted and measured heave position, System 1, 2022-07-25, 30 s prediction time. (Source: Miros)

Figure 2 shows an example of predicted and measured heave positions of System 1. The conditions are calm, the significant wave height is 4.7 m, and most wave energy is captured by the radar. With a 30-second prediction time, the correlation is 0.94 and the RMS deviation is 0.59 m. This level of accuracy gives crews confidence to anticipate vessel motion in real-time, enabling safer decisions and more precise execution of critical operations, such as lifting, landing, station-keeping, and timing interventions in narrow operational windows.

Figure 3: Time series of predicted and measured roll angle, System 2, 2022-11-02, 30 s prediction time. (Source: Miros)
Figure 4: Frequency-direction wave spectrum (Hz and °), System 2, 2022-11-02 (Source: Miros)

Figure 3 shows an example of predicted and measured roll angle at System 2. The conditions here are more difficult as the sea is complex (multimodal) and irregular due to changing weather and wind, as seen in Figure 4, with an Hm0 of 3.5 m. The radar is also affected by some rain. Even so, the results are still good, with a correlation of 0.90 and an RMS deviation of 1.1°. The roll angle is slightly shifted due to crane positioning.

Even in complex conditions, this performance quality means crews can still rely on predictions to manage vessel motion, supporting safer operations, more accurate timing and reduced risk during handling and transfer activities.

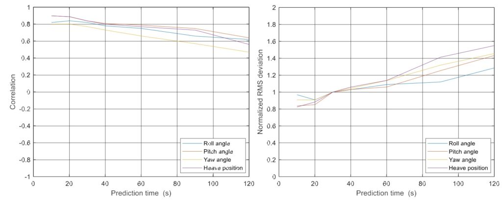
Figure 5: Averaged statistics as a function of prediction time, System 1 (Source: Miros)
Figure 6: Averaged statistics as a function of prediction time, System 2 (Source: Miros)

The study assessed average values of mean deviation, RMS deviation and correlation for all predicted parameters across many different conditions where both prediction and measurement are possible. Figure 5 shows how correlation (left) and RMS deviation (right) change with prediction time for System 1. As prediction time increases, correlation usually decreases and RMS deviation increases. RMS values are normalized at 30-second intervals to allow easier comparison. Figure 6 shows the same results for System 2.

The differences between System 1 and System 2 highlight that each installation behaves differently depending on factors such as vessel type, size, weight and the typical sea and weather conditions in which it operates.

Short-term prediction as an operational tool

The results presented by the study suggest that radar-based deterministic predictions can provide reliable short-term forecasts of waves and vessel motion under a range of real-world conditions.

Prediction horizons of tens of seconds to a few minutes are particularly relevant for offshore operations where the timing of individual waves can affect safety margins. Advanced warning of approaching wave groups or vessel motion events may allow operators to pause or adjust activities before critical limits are exceeded.

While statistical forecasts remain important for longer-term planning, deterministic prediction offers a complementary capability focused on immediate operational awareness.

As offshore operations become increasingly data-driven, the integration of real-time measurement and short-term prediction technologies will play an expanding role in supporting safer and more efficient marine activities. Miros has recently released its latest whitepaper, ‘Performance of the Miros PredictifAI System’, which explores the role of WaveSystem and Wavex in more detail. You can download the whitepaper here: www.miros-group.com/resource/performance-of-the-miros-predictifai-system/

Note: The opinions, beliefs, and viewpoints expressed in this article do not necessarily reflect the opinions of offshore-energy.biz.